ΚΟΙΝΟΠΟΙΗΣΗ | ΕΚΤΥΠΩΣΗ | ΗΛΕΚΤΡΟΝΙΚΗ ΔΙΕΥΘΥΝΣΗ
Πότε εμφανίστηκε για πρώτη φορά ο κορωνοϊός και πότε άρχισε να εξαπλώνεται; Εμφανίστηκε τον Δεκέμβριο στην αγορά υγρών προϊόντων της Χουανάν ή διέρρευσε από το Ινστιτούτο Ιολογίας της Γουχάν τον Νοέμβριο ή κυκλοφόρησε σκόπιμα στους Παγκόσμιους Στρατιωτικούς Αγώνες τον Οκτώβριο; Εξαπλώθηκε διεθνώς το φθινόπωρο του 2019; Υπάρχει εδώ και χρόνια;
Εδώ θα παρουσιάσω στοιχεία που αποδεικνύουν ότι ο κορωνοϊός εμφανίστηκε κάποια στιγμή στο δεύτερο εξάμηνο του 2019 και εξαπλωνόταν παγκοσμίως κατά τη διάρκεια εκείνου του φθινοπώρου και του χειμώνα.
Έχουν διεξαχθεί αρκετές μελέτες που έχουν εξετάσει αποθηκευμένα δείγματα για ενδείξεις του κορονοϊού, είτε αντισώματα είτε ιικό RNA. Μία από τις πιο ενδιαφέρουσες είναι μια... μελέτη από τη Λομβαρδία, βόρεια Ιταλία, από ερευνητές ιλαράς, οι οποίοι είχαν εντοπίσει ότι η Covid θα μπορούσε να προκαλέσει ένα σύνδρομο παρόμοιο με την ιλαρά. Εξέτασαν εκατοντάδες αποθηκευμένα δείγματα που ελήφθησαν κατά τη διάρκεια του 2018-20 τόσο για αντισώματα όσο και για ιικό RNA. Βρήκαν 11 δείγματα θετικά για ιικό RNA από τον Αύγουστο του 2019 έως τον Φεβρουάριο του 2020, συμπεριλαμβανομένου ενός από τον Σεπτέμβριο, πέντε από τον Οκτώβριο, ένα από τον Νοέμβριο και δύο από τον Δεκέμβριο. Τέσσερα από αυτά ήταν επίσης θετικά για αντισώματα, συμπεριλαμβανομένου του πρώτου δείγματος από τις 12 Σεπτεμβρίου 2019 (τόσο IgG όσο και IgM). Σημειώστε ότι αυτά τα δείγματα προέρχονταν από άρρωστα άτομα, επομένως δεν μπορούν να γίνουν εκτιμήσεις από αυτά για την επικράτηση στην κοινότητα. Τα θετικά δείγματα αλληλουχήθηκαν γενετικά για να αποκαλυφθούν πληροφορίες μετάλλαξης, μειώνοντας τις πιθανότητες να είναι ψευδώς θετικά. Κανένα από τα 100 δείγματα από τον Αύγουστο του 2018 έως τον Ιούλιο του 2019 δεν έδειξε ισχυρές ενδείξεις μόλυνσης, επικυρώνοντας περαιτέρω τις μεθόδους που χρησιμοποιήθηκαν και υποδηλώνοντας στους ερευνητές ότι ο ιός εμφανίστηκε γύρω στον Ιούλιο του 2019.
Μια ξεχωριστή σπουδές στη βόρεια Ιταλία εξέτασαν λύματα από το 2019 για ιικό RNA και βρήκαν δείγματα στο Μιλάνο και το Τορίνο θετικά από τις 18 Δεκεμβρίου, αν και αρνητικά πριν από αυτό, κάτι που έρχεται σε αντίθεση με τα αποτελέσματα της πρώτης μελέτης. Τα δείγματα υποβλήθηκαν και πάλι σε γενετική αλληλούχιση, γεγονός που ενίσχυσε την αξιοπιστία τους.
Ένας Βραζιλιάνος μελέτη λυμάτων βρήκε RNA του SARS-CoV-2 σε δείγματα από τα τέλη Νοεμβρίου και Δεκεμβρίου 2019, αλλά όχι σε δύο προηγούμενα δείγματα από τον Οκτώβριο και τις αρχές Νοεμβρίου. Τα δείγματα ελήφθησαν από μία τοποθεσία στην πόλη Φλοριανόπολις της νότιας Βραζιλίας και υποβλήθηκαν σε γενετική αλληλούχιση για επιβεβαίωση.
Έλεγχος λυμάτων στη Φλοριανόπολις της Βραζιλίας για RNA SARS-CoV-2
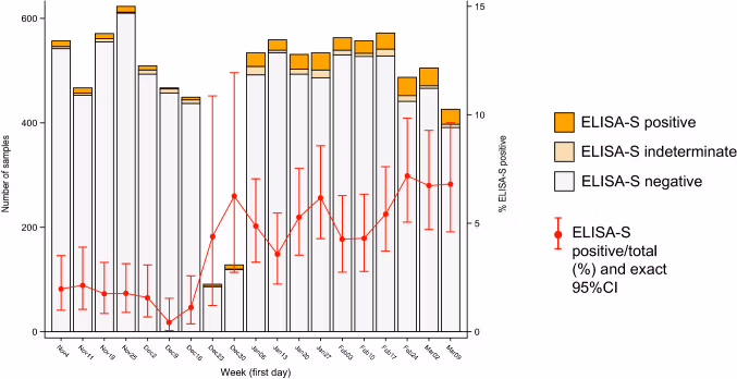
Μια μελέτη αντισωμάτων αρχειοθετημένο αίμα του Ερυθρού Σταυρού Σε έρευνα που διεξήχθη από το CDC των ΗΠΑ, διαπιστώθηκε ότι 39 δείγματα ορού θετικά για αντισώματα συλλέχθηκαν από τις 13 έως τις 16 Δεκεμβρίου 2019 στην Καλιφόρνια, την Ουάσινγκτον και το Όρεγκον. Συνολικά, το 2% των δειγμάτων αίματος που συλλέχθηκαν από αυτές τις πολιτείες σε αυτές τις ημερομηνίες βρέθηκαν θετικά για αντισώματα. Τα πλήρη αποτελέσματα μπορούν να προβληθούν στον παρακάτω πίνακα. Μια επικράτηση αντισωμάτων 2% στα μέσα Δεκεμβρίου υποδηλώνει σημαντική εξάπλωση στην κοινότητα σε όλη την Αμερική κατά τη διάρκεια του Νοεμβρίου 2019. Ωστόσο, δεν υπήρχαν προηγούμενα δείγματα για σύγκριση και δεν υπήρχε έλεγχος ή αλληλούχιση του ιικού RNA για επιβεβαίωση.
Δείγματα ορού θετικά σε αντισώματα
A μελέτη αποθηκευμένων δειγμάτων αίματος στη Γαλλία εξέτασαν εκατοντάδες δείγματα που συλλέχθηκαν τακτικά σε μια πληθυσμιακή ομάδα και διαπίστωσαν περίπου 2% επιπολασμό αντισωμάτων τον Νοέμβριο, αυξανόμενη επιπολασμό τον Δεκέμβριο και περίπου 5% επιπολασμό τον Ιανουάριο. Αυτά τα στοιχεία φαίνονται υψηλά σε σύγκριση με τις παραπάνω μελέτες, και η έλλειψη δοκιμών και αλληλούχισης του ιικού RNA και η απουσία δειγμάτων από προηγούμενες περιόδους υποδηλώνουν ότι αυτό μπορεί να είναι λιγότερο αξιόπιστη απόδειξη.
Άλλος ιταλική μελέτη εξέτασαν δείγματα αίματος από τον έλεγχο καρκίνου του πνεύμονα για αντισώματα SARS-CoV-2 και διαπίστωσαν ότι το 14% αυτών από τον Σεπτέμβριο του 2019 ήταν θετικά για αντισώματα SARS-CoV-2. Αλλά και πάλι, αυτό δεν περιελάμβανε έλεγχο και αλληλούχιση του ιικού RNA και αρνητικούς μάρτυρες από προηγούμενες περιόδους. Ένα Ισπανική μελέτη ανίχνευσε ιικό RNA SARS-CoV-2 σε δείγμα λυμάτων από τη Βαρκελώνη στις 12 Μαρτίου 2019. Ωστόσο, όλα τα άλλα ιστορικά δείγματα έως τον Ιανουάριο του 2020 ήταν αρνητικά και είναι υποψία ότι αυτό είναι ψευδώς θετικό λόγω μόλυνσης ή διασταυρούμενης αντίδρασης (το δείγμα δεν αλληλουχήθηκε).
Τι γίνεται με την πρώιμη εξάπλωση στην Κίνα; Είναι δύσκολο να βρεθούν αξιόπιστα δεδομένα για αυτήν τη χώρα. Ωστόσο, ένα διέρρευσε έκθεση της κινεζικής κυβέρνησης Διαπίστωσαν ασθενείς νοσοκομείου (αναγνωρισμένοι αναδρομικά) που εισήχθησαν στην Ουχάν από τις 17 Νοεμβρίου 2019, γεγονός που υποδηλώνει ότι ο ιός εξαπλωνόταν εκεί κατά τη διάρκεια του Νοεμβρίου και πιθανώς του Οκτωβρίου.
Ένα μοριακό ρολόι μελέτη Η εκτίμηση της ημερομηνίας κατά την οποία υπήρχε ο κοινός πρόγονος των πρώιμων ιικών δειγμάτων τοποθετεί την εμφάνιση του SARS-CoV-2 ήδη από τον Ιούλιο, στην Κίνα. Ένα ξεχωριστό μελέτη μοριακού ρολογιού εκτίμησε την εμφάνιση μεταξύ των μέσων Οκτωβρίου και των μέσων Νοεμβρίου στην επαρχία Χουμπέι της Κίνας.
Επομένως, τα στοιχεία είναι σαφή ότι ο ιός κυκλοφορούσε τόσο στην Κίνα όσο και διεθνώς το αργότερο μέχρι τον Νοέμβριο του 2019. Μπορούμε επίσης να πούμε με απόλυτη βεβαιότητα ότι δεν κυκλοφορούσε πριν από τον Ιούλιο του 2019 και ενδέχεται να μην υπήρχε πριν από τον Οκτώβριο του 2019, ανάλογα με το πόσο αξιόπιστα είναι τα ευρωπαϊκά δεδομένα από τις αρχές του φθινοπώρου.
Κάποιοι υποστηρίζουν ότι όλα αυτά τα στοιχεία πρώιμης εξάπλωσης - παρά το γεγονός ότι προέρχονται από πολλαπλές πηγές και χρησιμοποιούν ισχυρές μεθόδους επικύρωσης όπως η αλληλούχιση - πρέπει να είναι ελαττωματικά κατά κάποιο τρόπο, καθώς η έλλειψη υπερβολικών θανάτων πριν από τον Μάρτιο του 2020 καθιστά αδύνατο ο ιός να εξαπλώθηκε ευρέως κατά τη διάρκεια του φθινοπώρου και του χειμώνα.
Η άποψή μου είναι ότι αυτό το επιχείρημα δεν επαρκεί για να ξεπεράσει τα σαφή στοιχεία της πρώιμης εξάπλωσης. Δεν αρνούμαι ότι υπάρχει κάτι σαν «μυστήριο«αυτό πρέπει να επιλυθεί, δεδομένου ότι το κύμα υπερβολικών θανάτων δεν ξεκίνησε μέχρι τον Μάρτιο του 2020. Μερικοί σκεπτικιστές λύνουν αυτό το «μυστήριο» υποστηρίζοντας ότι ο ιός δεν πρέπει επομένως να είναι πιο θανατηφόρος από άλλους παρόμοιους ιούς και, ως εκ τούτου, τυχόν υπερβολικοί θάνατοι από τον Μάρτιο του 2020 πρέπει να έχουν προκληθεί από παρεμβάσεις όπως lockdown, ελαττωματικά πρωτόκολλα θεραπείας και εμβόλια. Ωστόσο, συμφωνώ με Ο Δρ. Πιερ Κορύ ότι έχουμε αδιαμφισβήτητα στοιχεία για κύματα σοβαρής πνευμονίας με κοινό κλινικό προφίλ που ξεκίνησαν τον Μάρτιο του 2020 και τα οποία εξηγούνται καλύτερα από τον νέο αναπνευστικό ιό στον οποίο οι περισσότεροι από τους νεκρούς βρέθηκαν θετικοί. Ενώ ορισμένοι από τους επιπλέον θανάτους θα οφείλονται σε παρεμβάσεις και ορισμένοι από τους θανάτους από Covid θα ταξινομηθούν λανθασμένα, η πλειονότητα των πρόσθετων θανάτων από αναπνευστική αιτία θα οφείλεται στον ιό. Ο καθηγητής Ιωάννης Ιωαννίδης χρησιμοποίησε δεδομένα αντισωμάτων για να εκτίμηση ότι το ποσοστό θνησιμότητας από λοιμώξεις στην Αμερική και την Ευρώπη κατά το πρώτο κύμα ήταν περίπου 0.3-0.4% (υψηλότερο στις θερμές περιοχές), το οποίο είναι αρκετές φορές υψηλότερο από ό,τι στη γρίπη, που συνήθως εκτιμάται σε περίπου 0.1%.
Ένα καλό αντίπαλο παράδειγμα στον ισχυρισμό ότι όλοι οι υπερβολικοί θάνατοι στην πανδημία προκλήθηκαν από παρεμβάσεις και όχι από τον ιό είναι η Νότια Ντακότα, η οποία δεν επέβαλε ποτέ καμία παρέμβαση. Παρά ταύτα, laissez-faire προσέγγιση είχε ένα ήπιο ανοιξιάτικο κύμα. Ωστόσο, στη συνέχεια είχε ένα τεράστιο καλοκαιρινό κύμα που οδήγησε σε σημαντικά αυξημένους θανάτους κατά τη διάρκεια του φθινοπώρου. Αυτοί οι θάνατοι σίγουρα δεν μπορούν να αποδοθούν σε ξαφνικό πανικό: η πολιτεία ήταν τόσο χαλαρή κατά τη διάρκεια της καλοκαιρινής επιδημίας που κράτησε ένα μαζικό ράλι μοτοσικλετών.

Υπερβολική θνησιμότητα στη Νότια Ντακότα
Πώς, λοιπόν, εξηγείται η έλλειψη υπερβολικών θανάτων κατά τη διάρκεια του φθινοπώρου και του χειμώνα του 2019-20; Το πιο σημαντικό σημείο που πρέπει να τονιστεί είναι ότι ενώ ο SARS-CoV-2 κυκλοφορούσε σαφώς κατά τη διάρκεια εκείνου του χειμώνα, δεν εμφανίζεται να ήταν ο κυρίαρχος ιός είτε στην κοινότητα είτε σε οίκους ευγηρίας και νοσοκομεία. Έτσι, ενώ, ας πούμε, το 2% του πληθυσμού μπορεί να έχει προσβληθεί από τον ιό κατά τη διάρκεια του χειμώνα, επειδή ανταγωνιζόταν άλλους, ηπιότερους ιούς και δεν ήταν ανεξέλεγκτος στον πληθυσμό υψηλού κινδύνου, ο αντίκτυπός του ήταν περιορισμένος και δεν προκάλεσε αισθητά αυξημένο αριθμό θανάτων.
Η αντίρρηση του σκεπτικιστή της πρώιμης εξάπλωσης σε αυτό το σημείο είναι ότι ο ιός είναι σαφώς εξαιρετικά μολυσματικός, επομένως αν ήταν παρών και κυκλοφορούσε, απλώς δεν είναι δυνατόν να έχει παραμείνει σε χαμηλό επίπεδο και να μην εξαπλώνεται ανεξέλεγκτα, ας πούμε, σε οίκους ευγηρίας, προκαλώντας χάος.
Αλλά είναι όντως αλήθεια ότι ο ιός προκαλεί πάντα ένα μεγάλο κύμα μολύνσεων και θανάτων όποτε είναι παρών, και αμέσως μόλις εμφανιστεί; Τα στοιχεία δείχνουν πως όχι. Απλώς δείτε πώς απέτυχε να εξαπλωθεί σε πολλά μέρη την άνοιξη του 2020, όχι μόνο στη Νότια Ντακότα όπως περιγράφεται παραπάνω, αλλά και στην Ιαπωνία, τη Νότια Κορέα, τη Γερμανία, την Ανατολική Ευρώπη και μεγάλα τμήματα των ΗΠΑ. Η Ινδία, αξιοσημείωτα, δεν επλήγη σκληρά μέχρι το Δέλτα το 2021, και η Ανατολική Ασία όχι μέχρι το Όμικρον. Με άλλα λόγια, ο ιός δεν κάνει πάντα αυτό που θα περιμέναμε, και ειδικότερα δεν έχει πάντα ένα θανατηφόρο κύμα μόλις εμφανιστεί.
Για να το δείξουμε, ιδού το εικόνα στις ΗΠΑ στα τέλη Μαΐου 2020, μετά το αρχικό κύμα. Είναι ένα πραγματικό συνονθύλευμα, με σαφείς συγκεντρώσεις υπερβολικών θανάτων γύρω από τη Νέα Υόρκη και γύρω από το Μίσιγκαν, το Ιλινόις και την Ιντιάνα, καθώς και τη Λουιζιάνα και μία ή δύο άλλες πολιτείες. Πολλές άλλες πολιτείες είχαν πολύ λίγους υπερβολικούς θανάτους κατά τη διάρκεια της άνοιξης. Ωστόσο, γνωρίζουμε ότι ο ιός κυκλοφορούσε ευρέως σε κάθε πολιτεία.
Στη συνέχεια, μέχρι τον επόμενο χειμώνα, οι υπερβολικοί θάνατοι ήταν υψηλοί σχεδόν παντού, πράγμα που σημαίνει ότι συγκεκριμένα τοπικά πρωτόκολλα θεραπείας ή πολιτικές αντιδράσεις δεν μπορούν να αποδοθούν ούτε στην πρόκληση των θανάτων ούτε στην αποτροπή τους.
Και στην Ευρώπη, υπήρξε τεράστια διακύμανση στις επιπτώσεις κατά το αρχικό εαρινό κύμα, παρόλο που ο ιός κυκλοφορούσε παντού.
Αυτό δεν οφειλόταν σε πολιτικές αντιδράσεις, όπως φάνηκε από τα πολύ διαφορετικά αποτελέσματα τον επόμενο χειμώνα.
Σύμφωνα με αυτά τα ασυνεπή αποτελέσματα, πολυάριθμα μελέτες έχουν παρουσιάζεται ότι τα αποτελέσματα κατά τη διάρκεια του πρώτου κύματος δεν εξηγήθηκαν από τις πολιτικές αντιδράσεις. Αλλά ούτε εξηγούνται από το αν ο ιός κυκλοφορούσε ή όχι, καθώς κυκλοφορούσε παντού.
Τα στοιχεία είναι σαφή, επομένως, από πολλαπλές μελέτες με ισχυρές μεθόδους επικύρωσης, συμπεριλαμβανομένης της γενετικής αλληλούχισης του ιικού RNA, ότι ο ιός κυκλοφορούσε παγκοσμίως το αργότερο από τον Νοέμβριο του 2019, με ορισμένες ενδείξεις παρουσίας του ήδη από τον Ιούλιο, αν και όχι νωρίτερα από τότε.
The πιο πιθανός λόγος Το γεγονός ότι δεν υπήρξε κάποιο εκρηκτικό, θανατηφόρο ξέσπασμα πριν από τον Μάρτιο του 2020 (ή ακόμα και αργότερα σε πολλά μέρη) είναι ότι ο ιός εξακολουθούσε να ανταγωνίζεται άλλους χειμερινούς ιούς, επομένως δεν ήταν κυρίαρχος ή δεν εξαπλωνόταν αχαλίνωτος σε νοσοκομεία και οίκους ευγηρίας. Τα μεγάλα ξεσπάσματα από την άνοιξη και μετά μπορεί να υποβοηθήθηκαν από την εμφάνιση νέων, πιο μολυσματικών (και πιθανώς πιο θανατηφόρων) παραλλαγών. Μια χειμερινή επικράτηση της Covid περίπου 2%, κυρίως μεταξύ των ατόμων χαμηλού κινδύνου, θα μπορούσε εύκολα να περάσει απαρατήρητη μεταξύ των συνηθισμένων χειμερινών ασθενειών, χωρίς να προκαλέσει αισθητή αύξηση στις εισαγωγές στο νοσοκομείο και τους θανάτους.
Με βάση αυτά τα στοιχεία, φαίνεται ότι μπορούμε οριστικά να αποκλείσουμε τόσο την εμφάνιση πριν από τον Ιούλιο του 2019 (πάρα πολλά αρνητικά και μόνο ένα αμφισβητήσιμο θετικό) όσο και μετά τον Νοέμβριο του 2019 (πάρα πολλά θετικά σε ορισμένες χώρες). Τα στοιχεία δεν είναι επί του παρόντος αρκετά συνεπή ή ισχυρά ώστε να μπορέσουμε να τα προσδιορίσουμε με μεγαλύτερη ακρίβεια.
Θα πρέπει, φυσικά, να υπάρχουν πολύ περισσότερα στοιχεία για την πρώιμη εξάπλωση. Ο Παγκόσμιος Οργανισμός Υγείας τον Ιούνιο του 2020 ζήτησε να διερευνηθεί σωστά η πρώιμη εξάπλωσηΩστόσο, ελάχιστα έχουν γίνει, και ιδιαίτερα στις Ηνωμένες Πολιτείες, οι διάφορες κυβερνητικές υπηρεσίες έχουν δεν έκανε καμία προσπάθεια να διερευνήσουν την πρώιμη εξάπλωση ως μέρος της γενικής παραμέλησης και καταστολής τους όλες οι έρευνες για την προέλευση του Covid.
Αυτή η σιωπή και η συσκότιση εγείρουν μόνο υποψίες. Και δεν υπάρχει έλλειψη λόγων για να είμαστε καχύποπτοι. Η έλλειψη γενετικής ποικιλομορφίας στα πρώιμα δείγματα, ο υψηλός βαθμός προσαρμογής στους ανθρώπους από την αρχή, η απουσία ζωικών δεξαμενών και η παρουσία μοναδικών χαρακτηριστικών που καθιστούν τον ιό εξαιρετικά μολυσματικό μεταξύ των ανθρώπων υποδηλώνουν ότι ήταν... όχι φυσικό αλλά κατασκευασμένο, και ως εκ τούτου είτε διέρρευσε από εργαστήριο είτε απελευθερώθηκε. Το ποιος συμμετείχε στην έρευνα που δημιούργησε τον ιό και η πορεία των γεγονότων που οδήγησαν στην είσοδό του στον ανθρώπινο πληθυσμό είναι επομένως ένα ζήτημα μεγάλης σημασίας που πρέπει να συνεχίσει να διερευνάται.
Ανατυπώθηκε από το Καθημερινός Σκεπτικιστής